Skip to content

PatwinchIR/ultra-sort

Folders and files

NameName
Last commit message
Last commit date

Latest commit

 
 
 
 
 
 
 
 
 
 
 
 
 
 
 
 
 
 
 

Repository files navigation

Ultra-Sort License: MIT

Extremely Parallelized SIMD Sorting Algorithm. (All references are in the report.)

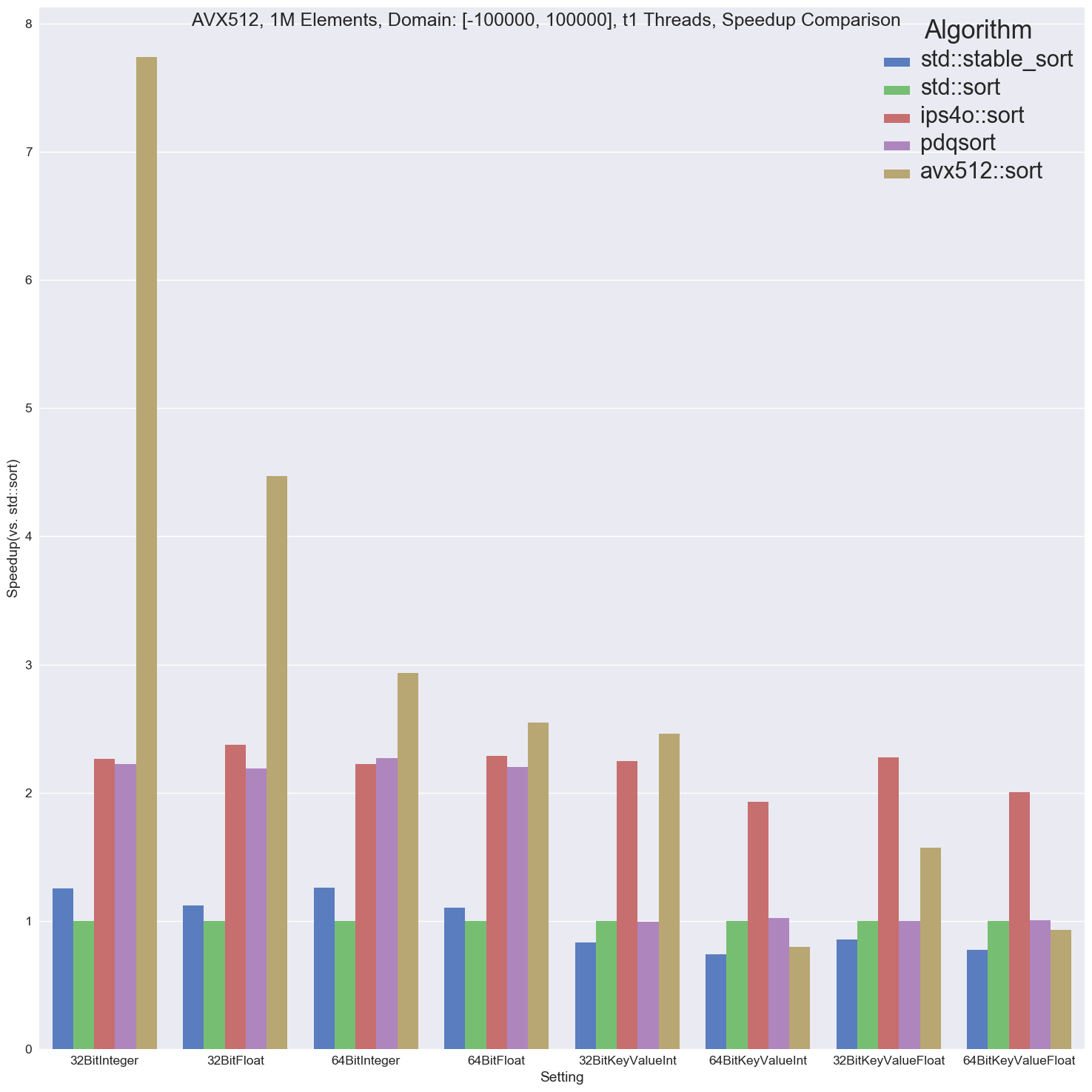
Speedup achieved sorting 2^20 elements

Compared with std::stable_sort, std::sort, ips4o::sort, pdqsort.

Usage:

  1. Compile from CMakelist.txt
  2. Due to integration with OpenMP, run the executable after build using the command below:
export OMP_NUM_THREADS=1; ./ultrasort

By default, this will run all unit tests set up using GTest. To use this library in other projects simply include the header files:

#include "avx512/simd_sort.h"

avx512::SIMD_Sort(...); // avx256::... for AVX2 version.

The number of elements to sort is required to be a power of 2. More examples can be found at test/avx512/simd_sort_test.cpp.

Releases

No releases published

Packages

No packages published

Contributors 3

  •  
  •  
  •  

Languages